Google-Forscher stellen Prompt-Trick vor – als ich ihn testen wollte, wurde mir klar, dass selbst KI-Experten kaum noch hinterherkommen

Forschende bei Google haben eine neue Art zu Prompten vorgestellt. Sie ist sehr simpel anzuwenden, doch anstatt eines effizienten Tricks habe ich etwas ganz anderes gelernt

Ein cooler neuer Trick? Nicht ganz. Eher eine beruhigende Erkenntnis. (Bildquelle: Google) Ein cooler neuer Trick? Nicht ganz. Eher eine beruhigende Erkenntnis. (Bildquelle: Google)

Wenn es um das Prompten geht, gibt es im Netz allerhand Tipps und Tricks. Oftmals geht es dabei um die Reihenfolge der einzelnen Abschnitte, um die Prompt-Struktur oder um den passenden Kontext.

Forschende von Google haben allerdings eine neue Methode vorgestellt, wie ihr angeblich deutlich bessere Ergebnisse bei nicht-reasoning-Modellen erzielen könnt: Kopieren und Einfügen. Ja, so einfach kann es anscheinend gehen:

Der Trick soll darin bestehen, denselben Prompt in einer Nachricht zweimal mitzugeben.

Ich habe es ausprobiert, und falls ihr manchmal das Gefühl habt, bei den ganzen KI-Releases nicht hinterherzukommen, kann ich euch beruhigen: Selbst die KI-Forscher von Google scheinen Probleme damit zu haben.

Was ich damit meine? Obwohl das Paper noch ganz neu ist, scheint mir der »Doppel-Prompt« bereits überholt zu sein.

Doppelter Prompt: Was soll das bringen?

Im ersten Moment wirkt dieser Trick etwas seltsam. Warum sollte ein doppelter Prompt das Ergebnis verbessern? 

Der Grund ist theoretisch einfach:

  • Wenn ein LLM (Large Language Model) beispielsweise eine Frage am Ende eines Prompts bearbeitet, »kennt« sie den vorherigen Kontext technisch gesehen nicht vollständig.
  • Durch die Verdopplung liegt der gesamte Inhalt in der zweiten Hälfte des Prompts erneut vor. So kann das Modell beim eigentlichen Antworten auf den kompletten Kontext zugreifen.
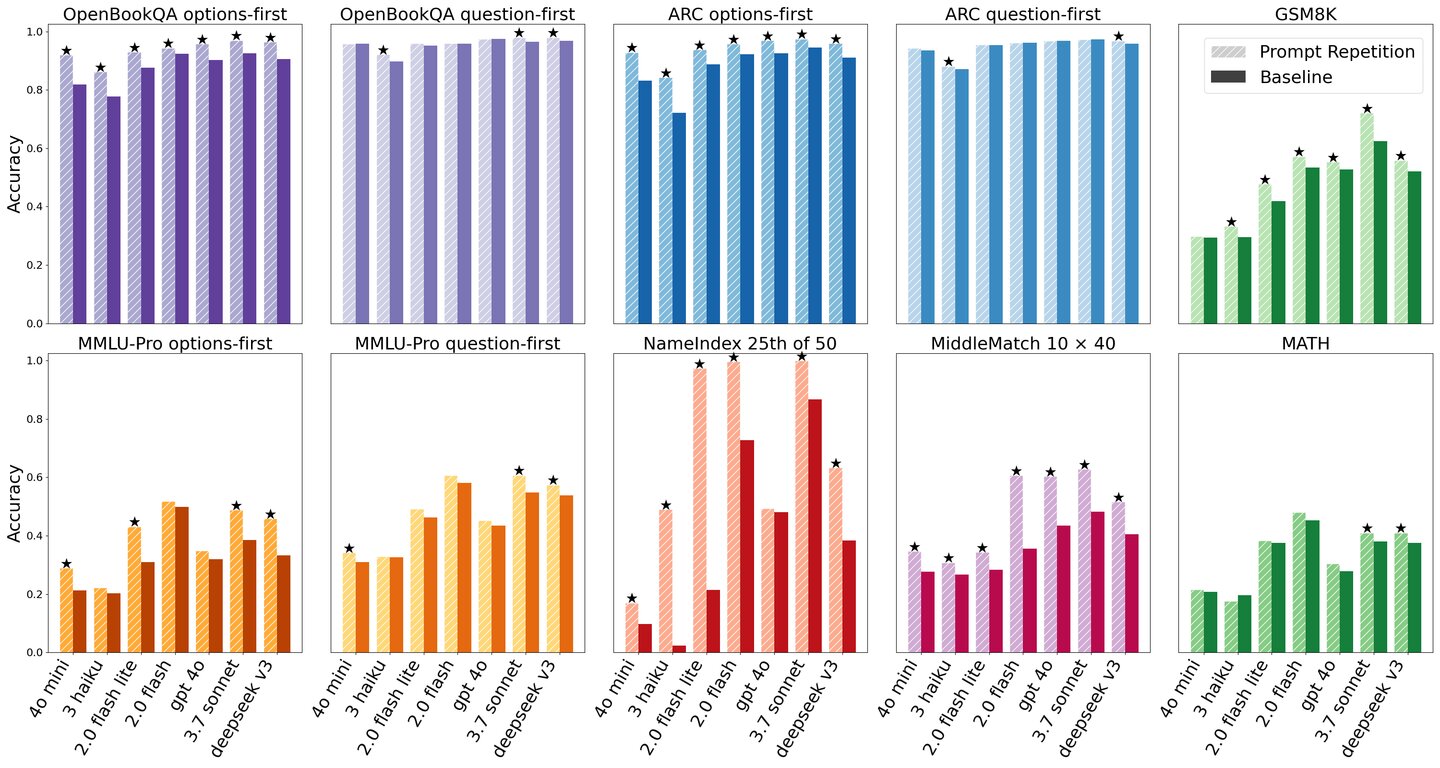
  • Bei Googles Forschungen hat das in 47 von 70 Szenarien dazu geführt, dass die Ergebnisse besser waren. Schlechter wurde angeblich kein einziges Ergebnis.

Hier seht ihr die Benchmarks für die nicht-Reasoning-Modelle. Vor allem das Benchmark »NameIndex 25th of 50« zeigt, wie gut die Methode funktionieren kann. (Bild: arxiv.org) Hier seht ihr die Benchmarks für die nicht-Reasoning-Modelle. Vor allem das Benchmark »NameIndex 25th of 50« zeigt, wie gut die Methode funktionieren kann. (Bild: arxiv.org)

Das Problem mit Googles Prompt-Hack

Der Trick ist nicht für Reasoning-Modelle gedacht. Das liegt hauptsächlich daran, dass Reasoning-Modelle im Grunde genau das bereits machen: Sie schauen sich den Prompt und ihr Ergebnis oft mehrfach an.

»Aber Jan«, höre ich euch rufen, »dann ist der Trick eben nur für Modelle ohne Reasoning gedacht

Mit Reasoning und ohne – wo ist der Unterschied? LLMs ohne Reasoning erzeugen Antworten vor allem durch Mustererkennung und Wahrscheinlichkeiten im Trainingsmaterial: Sie reagieren schnell und oft überzeugend, stoßen aber bei komplexen, mehrstufigen Denkaufgaben an Grenzen.

Reasoning-Modelle hingegen zerlegen eine Aufgabe intern in logische Zwischenschritte und »denken« Probleme systematischer durch, was insbesondere bei Mathematik, Logik oder Planung zu deutlich zuverlässigeren Ergebnissen führt, allerdings auf Kosten von höherem Rechenaufwand und längeren Antwortzeiten.

Damit hättet ihr auch recht, wenn mittlerweile nicht ohnehin jedes Standard-Modell über gewisse Reasoning-Fähigkeiten verfügen würde. Selbst abgespeckte Models wie zum Beispiel Gemini 3 Flash haben teilweise starke Reasoning-Fähigkeiten. 


Video starten 39:01 3.000€ für eine Grafikkarte? Die Hardware-Krise ist zurück – und sie ist schlimmer!


Es ist zwar gängig, dass Modelle je nach Anfrage entscheiden, ob sie Reasoning beziehungsweise Deep Thinking verwenden oder nicht, und ihr könntet eine Art Reasoning mit dem Trick erzwingen. Doch wirklich nützlich ist das in meinen Augen kaum.

Ich habe den Trick jetzt mehrfach mit Gemini 3 Flash, ChatGPT 5.2, und Haiku 4.5 ausprobiert, doch ich konnte weder bei Logikaufgaben, Alltagsaufgaben (Zusammenfassungen usw.) oder bei einer Indexierungsaufgabe einen entscheidenden Unterschied feststellen.

Für mich ist der Trick, obwohl er erst vor wenigen Wochen veröffentlicht wurde, schon jetzt veraltet.

Was habe ich daraus gelernt? 

Manchmal finde ich die schiere Flut an neuen Modellen und KI-Funktionen überwältigend – sogar überfordernd. Es beruhigt mich allerdings, zu wissen, dass selbst KI-Forscher von Google mal scheinbar etwas hinterherhinken.

Aber vielleicht fällt euch ja ein praktischer Nutzen für den Doppel-Prompt-Trick ein. Wenn es so ist, schreibt ihn gerne unten in die Kommentare!

zu den Kommentaren (3)

Kommentare(3)
Kommentar-Regeln von GameStar
Bitte lies unsere Kommentar-Regeln, bevor Du einen Kommentar verfasst.

Nur angemeldete Benutzer können kommentieren und bewerten.